容抗、感抗与功率放大器的关系
1. 感抗(XL)
定义:电感元件对交流电流的阻碍作用,其阻碍能力与交流信号频率正相关。
计算公式:XL=2ΠfL
关键特性:频率(f)越高、电感量(L)越大,感抗越大,对高频交流的阻碍作用越强。
2. 容抗(XC)
定义:电容元件对交流电流的阻碍作用,其阻碍能力与交流信号频率负相关。
计算公式:XC=1/2ΠfC
关键特性:频率(f)越高、电容量(C)越大,容抗越小,对高频交流的阻碍作用越弱。
3. 功率放大器(功放)
定义:一种电子设备,核心功能是将输入的弱交流信号(如音频信号)进行功率放大,驱动负载(如音箱、喇叭)正常工作,其工作效率、稳定性与负载特性直接相关。

二、核心关系:容抗、感抗决定功放的负载特性
功放的负载(如音箱、喇叭)并非纯电阻负载,而是由“电阻(R)+ 电感(音圈等)+ 分布电容”组成的RLC复合负载,因此功放实际面对的负载是复阻抗(Z),容抗和感抗是复阻抗的核心组成部分。
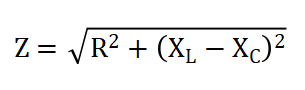
复阻抗计算公式:

关键结论:容抗(XC)和感抗(XL)的大小的变化,直接决定了功放负载复阻抗的数值和相位,进而影响功放的驱动难度、工作稳定性和输出效果。
三、容抗、感抗对功率放大器的具体影响(核心重点)
1. 负载阻抗随频率动态变化
由于容抗、感抗均与信号频率相关,因此功放的负载复阻抗会随交流信号频率的变化而剧烈波动:
低频信号:感抗(XL)较小、容抗(XC)较大,负载复阻抗接近纯电阻,功放驱动难度较低;
高频信号:感抗(XL)较大、容抗(XC)较小,负载复阻抗升高,功放驱动难度增加。
本质:功放并非驱动固定负载,而是随信号频率变化的动态负载。
2. 感抗的负面影响(感性负载)
当负载中感抗占比过高时,负载呈现“感性”,会导致交流电流滞后于电压,产生无功功率,对功放造成以下影响:
功放输出级(尤其是晶体管、乙类/甲乙类功放)发热加剧,能耗增加;
信号失真度上升,影响输出信号的保真度;
高频信号下易出现功放不稳定、自激现象,损坏功放元件。
3. 容抗的负面影响(容性负载)
当负载中容抗占比过高时,负载呈现“容性”,会导致交流电流超前于电压,同样对功放造成不良影响:
破坏功放的环路稳定性,高频信号易出现振铃、过冲现象;
增加功放输出级的负担,可能导致输出功率下降、元件损耗加快。
总结
功放的负载并非纯电阻,而是由电阻、容抗、感抗共同构成的复阻抗,三者的比例决定负载特性;











关注官方微信
