使用法布里-珀罗开放式谐振器进行D频段Dk/Df测量
QWED提供的法布里珀罗开放式谐振器 (FPOR) 只需使用一个夹具,即可在110 ghz至170 ghz的频率范围内准确表征介电薄片。

软件控制的法布里-珀罗开放式谐振器装置,配备一台R & S®ZNA26矢量网络分析仪和两台R & S®ZC170毫米波变频器。
您的任务
您需要了解自己生产或从第三方制造商处购买的材料介电片的微波特性。这些知识对于优化材料生产工艺或设计毫米波电路(例如用于6g技术)都非常有用。
这些材料包括聚合物(例如聚丙烯、聚氯乙烯)、PCB基板(例如FR-4、RT5880)、玻璃(例如熔融石英、硼硅酸盐)或单晶硅片(例如石英、蓝宝石)。材料的损耗正切可低至1 × 10-4,但仍能在110 ghz至170 ghz范围内进行精确测量。如果非谐振测量夹具(例如基于自由空间或波导的解决方案)无法满足您的D频段测量要求,可以尝试使用法布里珀罗开放式谐振器 (FPOR)。

基于FPOR的解决方案
FPOR提供了一种精确的技术,可以在110 GHz到170 GHz的频率范围内测量介电薄膜的复介电常数,分辨率为1.5 GHz。除了FPOR夹具外,还需要一台双端口R & S®ZNA26矢量网络分析仪 (VNA) 和一台电脑,就可以自动、快速、简单地完成测量。在D频段进行测量时,还需要使用一个波导适配器将两台R & S®ZC170毫米波变频器连接到同轴耦合的FPOR。
被测材料 (MUT) 的特性分析是在FPOR的连续奇数高斯模式下进行的,该模式表示为TEM0,0,q,其中q是纵向模式阶数。MUT通常准确位于谐振器的中间,即电场最大值处的高斯束腰。将MUT插入FPOR的专用聚碳酸酯样品支架上,样品支架中间有一个圆形开口(外径 < 50毫米)。如果样品适合FPOR,则测量是非破坏性的,无需对MUT进行特殊准备。
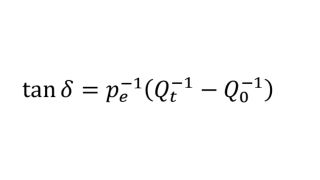
原始测量数据(特别是因插入MUT而引起的谐振频率和相应Q因子的变化),可分别转化为介电常数 (Dk) 和损耗因数 (Df)。对于Dk,在预处理阶段使用FPOR的电磁 (EM) 模型计算谐振频率与MUT厚度和Dk的函数关系的查找表。
一旦评估出MUT的Dk,就可以用下面的公式计算出相应的Df:

您的任务
您需要了解自己生产或从第三方制造商处购买的材料介电片的微波特性。这些知识对于优化材料生产工艺或设计毫米波电路(例如用于6g技术)都非常有用。
这些材料包括聚合物(例如聚丙烯、聚氯乙烯)、PCB基板(例如FR-4、RT5880)、玻璃(例如熔融石英、硼硅酸盐)或单晶硅片(例如石英、蓝宝石)。材料的损耗正切可低至1 × 10-4,但仍能在110 ghz至170 ghz范围内进行精确测量。如果非谐振测量夹具(例如基于自由空间或波导的解决方案)无法满足您的D频段测量要求,可以尝试使用法布里珀罗开放式谐振器 (FPOR)。
Qt是有样品时谐振器的Q因子,Q0是无样品时谐振器的Q因子,pe表示MUT的电能填充因子。后者使用频率递增规则进行评估。
介电常数和损耗正切的测量
Dk不确定度主要且几乎直接受MUT厚度不确定度的影响。例如,1% 的厚度不确定度会导致约1% 的Dk不确定度。如果保持良好的测量条件,Dk测量方法本身的精度可达到0.25%。此外,热漂移引起的波动也会得到补偿。
Df不确定度取决于许多因素,如MUT的厚度、Df级、矢量网络分析仪设置和振动。不过,Q因子远大于200,000,即使对于损耗低至1 × 10-4的材料,也能实现优于 ± 5% 的不确定度。
由于FPOR中利用的高斯模式是线性极化的,因此可以测量样品的面内各向异性,其他谐振方法无法做到这一点。由于物理结构(如晶体)或材料加工(如某些聚苯乙烯薄膜)的原因,各类材料都会表现出这种面内各向异性。如果将这样的样品任意插入FPOR,很可能会发生模式分裂,进而出现两个谐振频率。在这种情况下,必须旋转样品,直到其中一条谐振曲线消失。然后可以继续进行复介电常数测量。接着将样品再旋转90度,重复整个过程。通常情况下,Df不像Dk那样表现出各向异性。

不同材料在D频段的Dk

具有面内各向异性的高抗冲聚苯乙烯 (HlPS) 的Dk

不同材料在D频段的Df

具有面内各向异性的高抗冲聚苯乙烯的Df
技术支持















关注官方微信
