是德示波器4000X 系列如何进行探头补偿
我们以是德科技 4000X 系列示波器标配探头为例演示如何在进行补偿调整探头。 将探头接入示波器探头补偿信号端子,分别调节探头上的螺丝孔,可对探头进行低频补偿达到近似理想方波的波形。
1 输入探头补偿信号

2 按下 [Default Setup] 缺省设置调用默认示波器设置
3 按下 [Auto Scale] 自动设置以自动配置示波器,以便捕获探头补偿信号
4 按下探头所连接的通道键 ([1]、[2] 等)。
5 在 " 通道菜单 " 中,按下探头。
6 在 " 通道探头菜单 " 中,按下探头检查,然后按照屏幕上的说明操作。
如果需要,使用非金属工具 (探头附带)调整探头上的微调电容器,以获得 尽可能平的脉冲。 在 N2894A 探头上,微调电容器位于探头 BNC 连接器上。

7 将探头连接到所有其他示波器通道(2 通道示波器的通道 2 或 4 通道示波器 的通道 2、3 和 4)
8 对每个通道重复执行此程序
示波器探头补偿实测:如何补偿 10:1 无源探头?
探头和示波器的此电子模型显示(如下图)

连接到示波器的 1 MΩ 输入阻抗的 10:1 无源探头的简化示意图
当前我们只观察阻性组件时,我们已确定探头的 9 MΩ 探头端部电阻以及示波器的 1 MΩ 输入阻抗建立了 10:1 分压器比率。对于低频或直流电应用,忽略电容元件是比较适宜的。但是,如果您需要测量动态信号 (示波器的主要测量应用),则不能忽略此电子模型的电容元件。
所有示波器探头和示波器输入中本身都固有寄生电容。这些包括探头电缆电容 (C 电缆),以及示波器的输入电容 (C 示波器)。
“固有/寄生”仅意味着电子模型的这些元件非有意设计,而是真实电子世界中原本就存在的。固有/寄生电容的数量随着示波器的不同和探头的不同而异。但是,如果没有其他的设计电容组件来补偿系统中固有的电容元件,则系统在动态信号条件 (非直流)下的阻抗会从探测系统的整体动态衰减改为不同于所需的 10:1 比率。沿着可调补偿电容 (C 组件)分布其他/设计的探针电容器 (C 探针)的目的是建立与 10:1 的阻性衰减匹配的电容阻抗衰减。正确调整补偿电容时,这还可以确保与 9 MΩ 电阻器并列的探针电容的时间常数,和与示波器的 1 MΩ 输入电阻器并列的固有和补偿电容的时间常数匹配。
我们会将通道 1 探头连接到其他端子:
1 将两个 示波器探头连接到标记了示波器探头补偿的端子。请注意,这与称为 Demo2 的端子也是同一个端子。
2 按下示波器前面板上的 [默认设置]。
3 将通道 1 设置为 1.0 V/div。
4 将通道 1 偏移/位置设置为 0.0 V(默认设置)。
5 按触发电平旋钮,以将通道 1 上的触发电平设置为约 50%。
6 按 [2] 前面板键以打开通道 2。
7 将通道 2 设置为 1.0 V/div。
8 将通道 2 偏移/位置设置为约 +3.5 V。
9 将示波器的时基设置为 200.0 µs/div。
如果正确补偿了探头,则应在示波器显示屏上看到两个带有平坦响应的 1 kHz 方波,与下图类似。现在,让我们调整每个探头上的探头补偿。
使用示波器的 1 kHz 探头补偿信号补偿 10:1 无源探头
10 使用小的“一字”螺丝刀,调整位于每个探头主体上的可变电容器。请注意,
此调整有时位于一些探头的 BNC 连接端附近。
下图(不当补偿的探头)显示了通道 1 探头(黄色波形)补偿过度的示例,以及通道 2 探头(绿色波形)欠补偿的示例。如果您没有观察到近乎完美的方波,则应重新调整探头上的探头补偿,直到示波器上的波形与上图类似。

不当补偿的示波器探头
正确调整探头后,只要在此示波器上继续使用这些探头,在下次使用示波器时应该就不需要重新调整它们了。
此时,您已完成了本实验的实践部分。如果您赶时间,并需要完成本章中最后一个实验,则应跳到实验 #6,然后读取本实验后面其余部分的内容。
如何计算示波器探头电容补偿的正确数量?
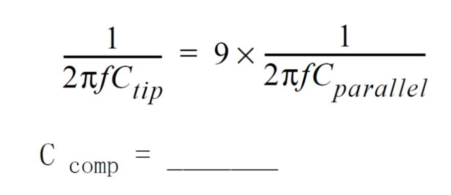
如果您面临挑战,请使用以下假设条件计算正确补偿所需的补偿电容 (C comp) 数量:

对于计算所需的补偿电容 (C comp) 数量,最早的方法是使 R tip 和 C tip 并联的时间常数 (1/RC) 与 R scope 和 C parallel 并联的时间常数相等。
请记住,C parallel 是探头/示波器模型中的三个电容元件的组合。
另一种计算方法是使 C parallel 的电容阻抗的 9 倍与 C tip 电容阻抗的 1 倍相等。这将建立电容阻抗产生的衰减常数,与仅阻性网络 (10:1) 产生的衰减常数相同:

技术支持















关注官方微信
