4225-PMU 10 ns 超短脉冲输出能力与波形验证
4225-PMU有3种模式:分段Arb,全Arb和标准脉冲模式。在标准脉冲模式下,PMU可以在5V范围内实现10ns的脉冲宽度。
标准脉冲模式产生两个电压等级的脉冲,但不进行测量。脉冲定时由触发和脉冲开始之间的延迟、上升时间、下降时间、脉冲宽度和脉冲周期构成。
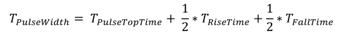
定义的脉冲宽度采用半峰全宽 (full width half maximum, FWHM) 标准。脉冲宽度的计算公式如下:

脉冲顶时间由PMU根据用户指定的脉冲宽度、上升和下降时间计算。然后脉冲周期是延迟、脉冲宽度、1/2的上升和下降时间和任何闲置时间的总和,如下面的等式所示:

脉冲模式的定时参数如下图所示:

图1. 脉冲计时
由于标准脉冲模式不需要测量,PMU可以实现其最小10ns脉冲宽度。PMU_examples_ulib用户库中的PMU_10ns_Pulse_Example模块使用精确的参数进行设置,以演示这种脉冲功能。将示波器连接到PMU的输出,可以获取脉冲波形。

图2: 使用示波器捕获的脉宽为10ns的脉冲
硬件要求 :
4225-PMU带或不带4225-RPM
水平分辨率为20ns的示波器
白色SMA电缆 (无RPM) 或三轴电缆 (有RPM)
SMA母转BNC公转适配器 (无RPM) 或Triax母转BNC公转适配器 (有RPM)
在示波器上查看输出
1. 打开Clarius并设置测试
a) 创建一个新项目
b) 添加一个通用2端被测
c) 添加自定义UTM测试
d) 置UTM为PMU_examples_ulib库,并选择PMU_10ns_Pulse_Example 模块
e) 选择需要配置的4225-PMU
f) 选择所需通道
2. 将示波器连接到4225-PMU上
a) 无RPM:将SMA电缆连接到所需通道输出,然后将另一端通过SMA转BNC适配器连接到示波器。
b) 带RPM:将三轴电缆连接到所需RPM的Force输出端,然后将另一端通过三同轴转BNC适配器连接到示波器。
3. 设置示波器来捕获脉冲
a) 垂直分辨率:200mV
b) 通道终端:50Ω
c) 水平分辨率:20ns
d) 水平延迟:关闭
e) 触发类型:边沿
f) 触发的边沿:上升
g) 触发电平:~300mV
4. 示波器将捕获波形
将示波器设置为单次触发,并在Clarius中运行UTM,示波器将捕获波形。

图3: 使用混合域示波器进行波形捕获
5. 使用自动测量或光标验证10ns脉冲宽度
a) 注意:脉冲宽度为FWHM/ 半峰全宽标准,应从最大振幅上升和下降的一半开始测量。
b) 对于这个模块 ( 脉冲从-1V到1V),脉冲判定取值在0V

图4. 光标测量脉冲宽度
技术支持















关注官方微信
