如何理解矢量网络分析仪S参数的S21等概念?
S参数被大量应用于高速电路和高频电路设计和仿真中,不仅仅是信号完整性和电源完整性工程师需要了解S参数,对于电子工程师、测试工程师和EMC工程师等等都需要了解,如果看不懂S参数曲线,那就无从分析频域信号,在高频的时候参数变化也无从说起。

什么是S参数?
S参数(S-parameter) 通过指定反射信号的幅度和相位,描述射频信号如何响应设备端口的值,是高频与射频电路中信号反射与传输特性的关键参数。
S参数可以以表格或图形的形式表示,并且是有价值的测量,因为它们可以洞察设备的整体性能和健康状况。

S参数名称来源于散射 “Scattering parameter”的S。散射参数能够完整地描述任何线性、非时变的元件,全面描绘该元件在其可能连接的系统中表现出的特性。散射参数包含相位信息,因此它们是复数形式的相量,同时还与频率有关。一旦知道散射参数,便可以将它们转换为其他网络参数,以便进行电路设计、优 化或调谐。S参数是网络分析仪(Network Analyzer)的工作语言。
S参数是一个复数矩阵,反映了在频域范围内的反射信号 / 传输信号的特性(幅度/相位)。

信号幅度/相位随着频率变化而变化。反映频率的幅度和/或者相位特性即S参数
双端口S参数
什么是双端口网络?
在电子学中,双端口网络(一种四端网络或四极网络)是指一种具有两对端子用于连接外部电路的电气网络(即电路)或器件。若施加于两个端子上的电流满足一项被称为“端口条件”的基本要求,则这两个端子便构成一个端口:即流入该端口一个端子的电流,必须等于流出该端口另一端子的电流。这些端口构成了该网络与其他网络相连接的接口,也是施加信号或提取输出信号的点。在双端口网络中,通常将端口1视为输入端口,将端口2视为输出端口。

图 附带符号定义的双端口网络示例。请注意,端口条件已得到满足:流入每个端口的电流与流出该端口的电流相等。
工作在线性条件下的放大器是典型的非互易网络,而匹配衰减器则是典型的互易网络。在以下情况下,我们将假设输入和输出分别连接到端口 1 和端口 2,这是最常见的约定。此外,还必须指定系统的标称阻抗、频率以及任何其他可能影响器件的因素,例如温度。
S参数指元器件反射信号和传输信号的特性,因此S参数包含反射参数,如S11,S22等;传输参数S12,S21等。
S参数一直占据着微波理论和技术中最重要的位置,它们包括了早已为工程师所熟悉的测量项目。
双端口网络具有四个S参数:
S11 是输入反射系数。它衡量的是从端口1输入的信号中,反射回端口1的那一部分。该参数表明了由于阻抗失配,有多少输入信号被反射了回来。
S21 是正向传输系数。它衡量的是从端口1输入的信号中,传输至端口2的那一部分。该参数表明了信号从输入端到输出端的传输效率。
S12 是反向传输系数。它衡量的是从端口2输入的信号中,传输至端口1的那一部分。该参数表明了端口1对于从端口2输入的信号具有多好的隔离度。
S22 是输出反射系数。它衡量的是从端口2输入的信号中,反射回端口2的那一部分。该参数表明了由于输出端的阻抗失配,有多少输出信号被反射了回来。
器件(系统)完整的参数应包含:反射和传输特性,参数反射参数指标中都应包含幅度和相位信息。对器件(系统)的这些参数描述可采用S参数。
双端口器件的S参数包含四个参数(N端口器件S参数包含N^2个参数)。S参数的定义是基于信号电压比值的参数。所以S参数为矢量。
S参数下标为器件的端口,具体定义为:第一个数字代表信号输出端口,第二个数字代表信号输入端。网络分析仪测试中,被测件与仪表端口1(Port1)连接的端口定义为器件的1端口,与仪表端口2连接的器件端口定义为2端口。
Sab:表示被测件端口b到端口a的传输系数。
例:被测件输入端为:1端口,输出端:2端口。
S11:当被测件输出端接匹配负载,输入端反射系数。
S21:当被测件输出端接匹配负载时,器件 端口1端口2传输系数。
双端口网络的S参数矩阵可能是应用最为广泛的一种,并可作为构建更大规模网络所需的高阶矩阵的基本单元。 在此情形下,出射波(即“反射波”)、入射波与S参数矩阵之间的关系可表述为:
双端口网络的 S 参数特性
复线性增益Complex linear gain
线性增益 G 由下式给出:
这指的是输出反射功率波与输入入射功率波之比的线性值,其中所有数值均以复数形式表示。对于有损网络,该比值小于1;而对于有源网络,其绝对值 |G| > 1。仅当器件的输入阻抗与输出阻抗相等时,该值才与电压增益相等。
标量线性增益 Scalar linear gain
标量线性增益(或线性增益幅值)由下式给出:

这代表增益的幅值(绝对值),即输出功率波与输入功率波之比,且等于功率增益的平方根。这是一个实数值(或标量)量,其中相位信息已被舍弃。
标量对数增益 Scalar logarithmic gain
增益 (g) 的标量对数(分贝或 dB)表达式如下:

这种表示方法比标量线性增益更为常用;通常,正值被简称为“增益”,而负值则被称为“负增益”(即“损耗”),其数值大小相当于以分贝(dB)为单位的损耗量。例如,在 100 MHz 频率下,一段 10 米长的电缆可能具有 −1 dB 的增益,这相当于 1 dB 的损耗。
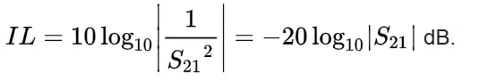
插入损耗 Insertion loss
若两个测量端口采用相同的参考阻抗,则插入损耗(IL)定义为传输系数幅值 |S21| 的倒数,并以分贝为单位表示。因此,其计算公式如下:

它是指在测量的两个参考平面之间引入被测器件(DUT)后所产生的额外损耗。这种额外损耗可能源于 DUT 自身的固有损耗,和/或阻抗失配。当存在额外损耗时,插入损耗被定义为正值。以分贝(dB)表示的插入损耗的负值被定义为插入增益,且其数值等于标量对数增益。
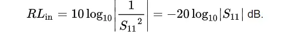
输入回波损耗 Input return loss
输入回波损耗(RLin)可被视为衡量网络实际输入阻抗与标称系统阻抗值接近程度的一个指标。以分贝表示的输入回波损耗由下式给出: 。

请注意,对于满足 |S11| ≤ 1 的无源双端口网络,其回波损耗必然是一个非负量,即 RLin ≥ 0。此外还需留意,尽管有时会引起混淆,但回波损耗一词有时会被用来指代上述定义量的负值;然而,若严格依据“损耗”的定义来看,这种用法在理论上是不正确的。
输出回波损耗 Output return loss
输出回波损耗 (RLout) 的定义与输入回波损耗类似,但它适用于输出端口(端口 2)而不是输入端口。其表达式为:

反射系数 Reflection coefficients
假设该网络在两个端口均处于理想匹配状态,则输入端口的反射系数 Γin 和输出端口的反射系数 Γout 分别等同于 S11 和 S22;因此:

由于 S11 和 S22 均为复数,因此 Γin 和 Γout 亦为复数。
电压驻波比 Voltage standing wave ratio
端口处的电压驻波比(VSWR)通常用小写字母“s”表示,它是衡量端口匹配程度的一种指标,其作用类似于回波损耗,但属于一种标量线性量,具体定义为驻波电压最大值与最小值之比。因此,它与电压反射系数的幅值密切相关;进而,它也与输入端口的S11参数幅值或输出端口的S22参数幅值直接关联。
四端口S参数是什么?
四端口S参数用于表征四端口网络。它们包含了关于该网络四个端口之间反射功率波与入射功率波的信息。
这些参数常用于分析一对耦合传输线,以确定它们之间的串扰量(前提是这两条传输线由两个独立的单端信号驱动),或者确定当有差分信号驱动通过时,其反射功率与入射功率的情况。许多高速差分信号规范都通过四端口S参数来定义通信信道,例如10千兆位连接单元接口(XAUI)、SATA、PCI-X以及InfiniBand系统。
技术支持












关注官方微信
